<>
  • РАЗНИ АСПЕКТИ УПРАВЉАЊА ОТПАДОМ

    WAMPPP 561821-EPP-1-2015

  • УПРАВЉАЊЕ ОТПАДОМ - ЗАКОНСКА РЕГУЛАТИВА

    WAMPPP 561821-EPP-1-2015

  • Према Закону о управљању отпадом Републике Србије, управљање отпадом јесте спровођење прописаних мера за поступање са отпадом у оквиру сакупљања, транспорта, складиштења, третмана, односно поновног искоришћења и одлагања отпада, укључујући и надзор над тим активностима и бригу о постројењима за управљање отпадом после затварања и активности које предузима трговац и посредник.

    WAMPPP 561821-EPP-1-2015

  • Управљање отпадом се базира на пет основних начела:
    1) Начело избора најоптималније опције за животну средину
    2) Начело близине и регионалног приступа управљању отпадом
    3)Начело хијерархије управљања отпадом (основни елементи превенције, рециклаже и одлагања отпада)
    4)Начело одговорности
    5)Начело кажњавања загађивача (који плаћа трошкове: сакупљања, превоза отпада, уклањања отпада који је непознато лице одложило изван депоније, пројектовања и изградње постројења за третман отпада).

    WAMPPP 561821-EPP-1-2015

  • Закон познаје три врсте отпада:
    1) комунални отпад
    2) комерцијални
    3) индустријски.

    WAMPPP 561821-EPP-1-2015

  • Oтпадне материје могу бити
    1) инертне
    2) неопасне
    3) опасне.

    WAMPPP 561821-EPP-1-2015

  • Депоније де деле на:
    1) депоније за инертан отпад
    2) депоније за неопасан отпад
    3) депоније за опасан отпад.

    WAMPPP 561821-EPP-1-2015

  • Да би се вршиле активности из домена управљања отпадом потребне су следеће дозволе:
    - дозвола за сакупљање отпада,
    - дозвола за транспорт отпада, за третман отпада,
    - дозвола за складиштење отпада,
    - дозвола за поновно коришћење отпада
    - дозвола за одлагање отпада.

    WAMPPP 561821-EPP-1-2015

  • Значајни субјекти управљања отпадом су: локална самоуправа, агенција за заштиту животне средине и стручне организације за испитивање отпада, који решавају конкретне проблеме на терену.

    WAMPPP 561821-EPP-1-2015

  • Сви учесници у планирању и реализацији активности везаним са настајањем, складиштењем, превозом и коришћењем отпада имају своје законске обавезе које морају да испуне, а неиспуњавање тих обавеза се санкционише према одредбама Закона о управљању отпадом.

    WAMPPP 561821-EPP-1-2015

  • Посебним прописима се регулише управљање отпадом: гума, батерија, електричних уређаја, живе, азбеста, возила, медицинског и фармацеутског отпада и амбалаже.

    WAMPPP 561821-EPP-1-2015

  • Закон o управљању отпадом предвиђа сакуплљачи отпада морају да имају закључен уговор са оператером за управљање отпадом којим се уређује начин преузимања отпада, плаћање преко банковног рачуна, као и друга питања од значаја за преузимање отпада (врсте, количине, порекло, класификација отпада и друго).

    WAMPPP 561821-EPP-1-2015

  • МЕТОДОЛОГИЈА УПРАВЉАЊА ЕКОЛОШКИМ РИЗИКОМ И ПРОЦЕНЕ РИЗИКА

    WAMPPP 561821-EPP-1-2015

  • Управљање ризиком у животној средини може се дефинисати као сложена и изузетно специфична активност која захтева мултидисциплинаран приступ и представља комплексан скуп мера поступака и активности које имају за циљ смањење вероватноће настанка ризика и могућих последица ради стварања услова под којима ризик може бити сведен на прихватљив ниво.

    WAMPPP 561821-EPP-1-2015

  • Један од најприхватљивијих модела управљања еколошким ризиком подразумева спровођење три фазе: идентификацију ризика, процену еколошког ризика и контролу ризика.

    WAMPPP 561821-EPP-1-2015

  • Идентификација ризика је прва од три међузависне фазе у процесу управљања еколошким ризиком. Ова фаза има за циљ да утврди могуће појављивање ризика или да препозна већ постојећи ризик. На овај начин идентификацијом ризика у процесу управљања заштитом животне средине стварају се услови како за превенцију од потенцијалних ризика, тако и за контролу постојећих ризика.

    WAMPPP 561821-EPP-1-2015

  • Процена еколошког ризика је суштинска фаза процеса управљања и то је процес: сакупљања, организовања, анализирања и презентовања научних података ради доношења одлука којима се обезбеђује заштита и побољшање еколошког стања неког простора. Овако дефинисана, процена еколошког ризика представља јединствен облик процене који укључује термин ризик и којим се претпоставља узрочно-последична веза (однос) стресор – одговор. Под појмом стресор подразумева се било који физички, хемијски или биолошки ентитет који може да изазове, индукује негативну реакцију.

    WAMPPP 561821-EPP-1-2015

  • Контрола ризика представља скуп метода којима се обезбеђује смањивање, минимизирање, отклањање или прихватање ризика. Спровођење поступка контроле ризика подразумева активности на организовању развоја кадровских и материјалних ресурса, спровођењу мера приправности, изради планова заштите животне средине, надзор и спровођење инспекцијских послова, примену стандарда заштите животне средине и др.

    WAMPPP 561821-EPP-1-2015

  • Поред наведених фаза у управљању еколошким ризиком потребно је примењивати и одговарајуће мере које утичу на редукцију појаве ризика, а то су:
    • нормативно-правна регулатива (закони и прописи),
    • одговарајућа организациона структура у друштву и
    • успостављање квалитетног мониторинга животне средине.

    WAMPPP 561821-EPP-1-2015

  • Eворпски модел процене еколошког ризика уводи појмове хазарда и ризика.

    Хазард је инхерентни (битан) потенцијал да нешто нанесе штету. Хазарди могу да садрже материје, машине, облике енергије, односно токове који се врше изван процеса рада.
    Ризик је вероватноћа да ће се штета заиста догодити у току рада или ће се тако нешто догодити након излагања опасности.

    Ризик = Хазард x Излагање.

    WAMPPP 561821-EPP-1-2015

  • Европски концепт процене еколошког ризика садржи следеће фазе у спровођењу:
    1. Идентификација хазарда (идентификацијa имовине или ситуација које би могле да доведу до акцидента)
    2. Идентификација последица (ако дође до хазарда).
    3. Процена обима последица. Може да укључи разматрања просторних и временских нивоа последице и време почетка последице.
    4. Процена вероватноће последица: присуство хазарда, вероватноћа изложености рецептора на хазард и вероватноћа штете настале услед изложености хазарду
    5. Оцена ризика (често се назива и карактеризација ризика или процена ризика).

    WAMPPP 561821-EPP-1-2015

  • Процена еколошког ризика према Канадском моделу обухвата испитивање ризика који проистичу из природних догађаја (поплава, екстремних временских прилика, итд.), технолошких процеса и производа, агенса (хемијских, биолошких, радиолошких, итд.) и индустријске активности које могу представљати претње екосистема, биљном и животињском свету и људима. На пример, еколошка процена здравственог ризика тиче се људског здравља и процене еколошког ризика која се односи на амбијент животне средине и организама који у њој живе.

    WAMPPP 561821-EPP-1-2015

  • Канадски модел еколошког ризика даје следеће фазе:
    – прва фаза процене је систематски процес којим проценитељ настоји да утврди да ли одређено место може бити предмет процене,
    – друга фаза је систематски процес којим проценитељ настоји да окарактерише ниво ризика,
    – трећа фаза се користи да се потврди или оповргне налаз прве фазе, прикупљање информација и корективне мере или да се успоставе основни услови за заштиту животне средине.

    WAMPPP 561821-EPP-1-2015

  • Амерички модел процене еколошког ризика подразумева спровођење процене еколошког ризика у условима антропогеног деловања на животну средину, не упуштајући се у проблеме решавања природних еколошких ризика, али са могућношћу примене дате методологије и на тај сегмент животне средине. Дата методологија јасно оцртава границу између научног (фаза процене) и ненаучног (планирања) дела процене.

    WAMPPP 561821-EPP-1-2015

  • УЛОГА УПРАВЉАЊА ОТПАДОМ У ОБРАЗОВНИМ УСТАНОВАМА

    WAMPPP 561821-EPP-1-2015

  • Образовно-васпитни процес у функцији заштите и унапређења животне средине представља свесно и планско развијање знања о човековој средини у току читавог живота, које за циљ има развијање свести о основним карактеристикама човекове средине, односа у њој и односа према њој на основу које ће човек тежити очувању и унапређивању средине. Еколошко образовање треба да пружи сигурна знања о основним еколошким питањима савременог друштва, развија критички став према растућој деградацији животне средине и указује на неопходност рационалног коришћења природних ресурса.

    WAMPPP 561821-EPP-1-2015

  • Задатак васпитања и образовања кроз генерације младих које стасавају и које су у пуној активности је на решавању проблема човекове средине да се стекну знања о савременим проблемима човекове средине, о карактеру и суштини опасности угрожене средине, о начину отклањања негативних последица нарушене еколошке равнотеже.

    WAMPPP 561821-EPP-1-2015

  • Управљање отпадом је спровођење законских прописаних мера и поступака са отпадом у оквиру сакупљања, одвајања, транспорта, третмана, поновног коришћења и коначног одлагања отпада у животну средину, укључујући и надзор над тим активностима.

    WAMPPP 561821-EPP-1-2015

  • Концепт хијерархије управљања отпадом (слика1.) указује на кључне активности у управљању отпадом. Најефективније и најефикасније решење за животну средину је смањење стварања отпада тј. минимизирање. Међутим, тамо где смањење није практично применљиво, производи и материјали могу бити искориштени поново, било за исту или за другу намену (поновна употреба). Уколико та могућност не постоји, отпад се може даље искористити кроз рециклажу или компостирање или кроз добијање енергије. Само ако ни једна од поменутих опција не даје одговарајуће решење отпад треба одложити на депонију. Циљ хијерархије управљања отпадом је да извуче максималну практичну корист од производа, а да притом генерише минималну количину отпада.

    WAMPPP 561821-EPP-1-2015

  • Према статистичким подацима, у структури прикупљеног комуналног отпада најзаступљенији је органски отпад, папир, пластика, стакло.

    WAMPPP 561821-EPP-1-2015

  • Свест о важности управљања отпадом може да се развије образовањем радионица за младе чији је задатак стицање знања о савременом проблему животне средине, о карактеристикама и суштини опасности угрожавања средине, начину отклањања негативних последица нарушене еколошке равнотеже.Еколошко образовање младих кроз различите облике радионичарског рада требало би увести код деце предшколског узраста, затим током основног и средњег образовања, па чак и на високошколским установама. Еколошко образовање има функцију да припрема младе за свет у којем су заштита, обнова и унапређење животне средине услов опстанка човека и његовог одрживог развоја.

    WAMPPP 561821-EPP-1-2015

  • АУТОМАТСКО УПРАВЉАЊЕ КАО АСПЕКТ УПРАВЉАЊА ОТПАДОМ

    WAMPPP 561821-EPP-1-2015

  • Предности аутоматског управљања: штедња енергије, повећана безбедност радног процеса, позитиван утицај на очување животне средине, повећање продуктивности и квалитета производа, смањење потрошње сировина, смањење трошкова проиводње.

    WAMPPP 561821-EPP-1-2015

  • Предмет управљања је систем на коме је потребно вршити регулацију температуре. Систем се састоји од коморе која представља унутрашњост у којој се врши регулација температуре, грејача којим се загрева ваздух, вентилатора који омогућава проток ваздуха кроз комору и сензора за мерење температуре и протока ваздуха. 1

    WAMPPP 561821-EPP-1-2015

  • Систем за регулацију температуре

    WAMPPP 561821-EPP-1-2015

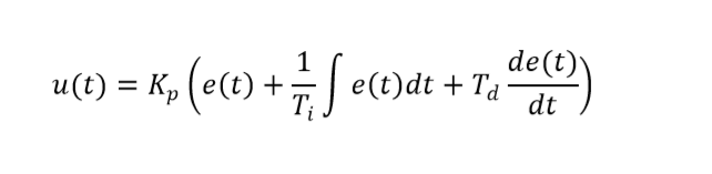
  • Пропорционално-интегрално-диференцијални регулатор, односно ПИД садржи три дејства. Пропорционално дејство линеарно зависи од грешке, интегрално дејство од интеграла грешке, док диференциално дејство линеарно зависи од њеног првог извода. Како би се подесио ПИД регулатор, потребно је одредити три параметра која одређују коефицијент линеарне зависности код сваког од дејстава. Њиховим подешавањем, могуће је утицати на брзину отклањања грешке, стабилност система, време трајања прелазних процеса и друге перформансе.

    WAMPPP 561821-EPP-1-2015

  • Једначина регулатора

    WAMPPP 561821-EPP-1-2015

  • Пропорционални регулатор је најједноставнији облик регулатора, и његово дејство је сразмерно грешци регулације. Повећањем Kp повећава се брзина реакције система, a резерва стабилности се смањује.

    WAMPPP 561821-EPP-1-2015

  • Дејство интегралног регулатора је сразмерно интегралу грешке у времену. Увођењем интегралног дејства углавном се отклања грешка праћења референце у стационарном стању. Ki је појачање интегралног регулатора, његовим повећавањем повећава се инертност система, тако да спорије реагује на брзе промене. Повећањем са растом Ki, резерве стабилности система се смањују.

    WAMPPP 561821-EPP-1-2015

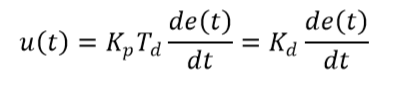
  • Диференцијални регулатор има дејство сразмерно првом изводу грешке. Његово дејство у стационарном стању је једнако нули. Повећањем параметра Td, повећава се осетљивост система на брзе промене и расту резерве стабилности.

    WAMPPP 561821-EPP-1-2015

  • Међу најпознатијим методама за подешавање параметара система су ПИ- и Зиглер-Николс метода.

    WAMPPP 561821-EPP-1-2015